Euclidean QFT, or, how to get Feynman propagator just from real Gaussian integrals :)
- hyaline chen

- 53 minutes ago
- 1 min read
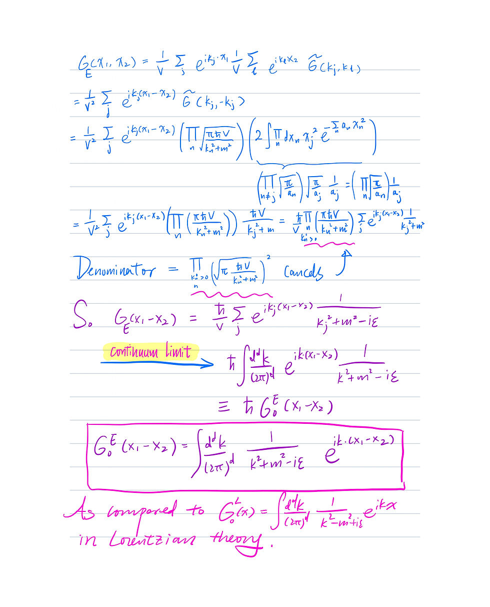
In this post I introduce the Euclidean QFT through the usual Wick rotation, the Euclidean action, and then we derive the Euclidean propagator with the discrete definition of path integrals and in the continuum functional derivative formalism.
This is nice to me because we are dealing with simple real Gaussian integrals without having to use complex analysis at all. Also, passing back to Lorentzian theory gives back exactly the Feynman propagator with the correct pole structures! Yayy
Quick summary:

Now the content begins












Comments